燃气热水器怎么选?高端燃气热水器推荐:海尔|林内|史密斯推荐
王之葵托利
2023-10-20
热水器应该是居家必备不可获取的家电了,热水器是家庭主要洗浴以及生活使用热水的来源。现在很多城市居民家里安装的都是燃气热水器,他们之所以选择燃气热水器的原因,在于燃气热水器具有加热速度快,热水流量大、经济性高等优势。
但如何选择一款好用的燃气热水器?这或许对很多人来说,都是一个难题。之前我给家里选燃气热水器的时候,做了一些攻略,并对市面上主流品牌的几款燃气热水器进行了对比分析,分享出来供大家参考。

一、燃气热水器的工作原理
在分享如何选择燃气热水器前,先来简单了解一下燃气热水器的工作原理,这将有助于你更好地了解燃气热水器,以及清楚选择其应关注的地方。
其实,燃气热水器加热热水的原理其实非常简单,就是一个传统的“锅炉”,原理与家里做饭用燃气烧水、或者农村烧火做饭一样。
下图为燃气热水器的原理图,从原理图中,可以看出,燃气热水器系统由水管、燃烧室、热交换器、以及右上角的温控芯片等组成。燃气热水器的工作过程,是冷水进入到换热器中,被燃烧室中燃烧的燃气加热的过程。
二、燃气热水器选择时应考虑的因素,以及高端产品的优势在哪儿?
因此在选择燃气热水器时,从原理上看,应该考虑的地方,主要有以下这些:
2.1 燃烧是否充分?
这与燃烧室的设计有关,燃烧室设计的是否合理,预混是否充分,会影响到燃烧效率。其中最主要的是风机的布置,其方式有两种,一种是下置风机,另一种是上置风机。
下置风机的优势在于安装便捷,燃烧效率高,因为风从下面进入,烟气受热膨胀后上升,故排烟效率也很高;
上置风机的优势在于空间利用上,可以节省安装空间,排烟管道等的安装也更加灵活。
至于怎么选的话,空间足够,优先选下置风机;空间拘束且排烟方向受限,可选上置风机。目前市面上的高端产品,多用的还是下置风机的设计,这种设计更科学,且更合理。

2.2 换热是否出色?
这与换热器的材料、换热器的设计等有关。
从换热器的材质来看,采用铜作为换热器材质的换热性能要明显优于不锈钢,铜的热导率超过400W/(mK),而不锈钢的热导率通常不超过20W/(mK),二者的传热特性相差20多倍。所以市面上高端的热水器的换热器材质用的都是铜,而且是无氧铜。

此外换热还与换热器的流道设计有关,下图为最新一代卡萨帝W系列热水器采用的M型高效换热器,以及对应的温度场。该换热器采用“凹”型聚能吸热片结构:让吸热更充分,且有聚能效果;并且采用“M”型交叉热交换结构:可让换热面积更大,让受热更均匀,热水加热稳定均匀,水温稳定。借助于该换热器,使得卡萨帝M系列的整体热效率高达91.5%,更加节能高效。

2.3 温控是否精准?恒温是热水器的极致追求。
恒温特性是燃气热水器使用上的痛点,也是热水器追求的极致目标,更是高端热水器和中低端热水器的重要区分。 在使用热水器时,大家都希望其能够长时间保持恒温输出,这样子洗澡最舒服。但实际使用热水器时,经常会遇到温度波动的情况,带来一些不太好的体验。
为什么热水器使用时会产生温度波动呢?因为燃气热水器是一个即时加热装置,是直接用燃气烧水升温的设备。如果要做到恒温,那既需要保证提供稳定的燃气,还需要保证提供适量的冷水,并且水温的测量要精准,混合要均匀才可以。
在使用热水器时,最让人不爽的两大痛点: 一是刚开始用的时候,出现冷水,需要放一会儿才出现热水,为了解决这一痛点,出现了零冷水燃气热水器,其通过在管路中储存一定量的热水,从而解决刚开启时出来冷水的问题;

二是二次启停时的水温变化,大家洗澡时最少也会出现一次关闭水龙头再开启的情况,多的时候则是两次。市面上很多热水器在二次启停时,会出现水温先烫后凉的情况,也会带来不好的体验。
之所以二次启停会出现这问题,是因为在中途关闭热水器时,换热器的预热会继续加热,于是就形成了高温的烫水,而当开启燃气热水器后,旁路的水进来预混,则又会将水变凉,用户感受到的就是忽冷忽热。
而如何实现恒温输出,解决二次启停的忽冷忽热问题?卡萨帝给出的方案是双驱水伺服,如下图左侧所示。其通过一个双驱水阀门,实现了对旁通管路的水的精准控制。并且增加了三维温度传感系统,配合上双驱调节水量,就能够实现实时精准的换热器出口水温控制了。

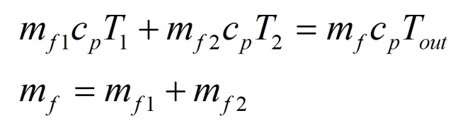
如果你不是很理解为啥这样可以实现水温的精准控制,可以看下面的公式,左侧的mf1是换热器出口的热水流量,T1是出口温度,mf2和T2则分别是旁通管冷水的流量和温度,不考虑过程中的cp变化,在左侧参数都是确定的时候,换热器出口的温度Tout就是恒定的,就是这样实现了恒温。

双驱水伺服带来的恒温体验,不仅可应用于解决二次启停问题,日常遇到的各种水温波动都可以解决,比如燃气供应,水压波动等。只要控制好旁通路和换热器出口的温度和流量,就可以输出恒温的热水。卡萨帝提出的双驱水伺服恒温技术带来的停水温升低于国标96%(国标18K),也就是只有0.72℃的温度波动。这一技术还被中国轻工业联合会认定为国际领先。

2.4 输运水的距离是否够?洗浴水量够不够大?
燃气热水器输运水的距离主要与泵的性能有关,如果是普通的家庭住宅,则应该都够用,如果家里面积大导致燃气热水器与洗漱间距离太远,或者多层住宅的话,则需要注重泵的输运能力。
泵的输运能力通常用扬程来表示,下图的卡萨帝燃气热水器W系列中采用的尼德科水泵+turbo涡轮增压技术,扬程可以达到15m,可克服150m的循环管路的压降。超强的输运能力让其可以轻松适配别墅级豪宅,洗浴水量也可增加2.7倍,堪比酒店瀑布洗~能够更好地满足,大户型用户日常对热水的需求。

2.5 使用过程中的噪音问题?
燃气热水器的噪音来自于泵、燃烧室、风机、以及管路。泵的降噪可以通过加吸音材料来实现;燃烧室的降噪通常需要通过隔音来实现;而风机的降噪则与设计有关。下图为海尔卡萨帝CWS燃气热水器中的降噪科技,其通过升级水泵材质,创新离心风机部件,并且采用新型壳体结构来实现。
降噪设计后的热水器在最小负荷下的噪音可以控制在40dB,是非常出色的水平了。

2.6 安装服务如何?
通常购买燃气热水器都是包安装的,但是不同品牌的服务安装质量存在区别,有的需要人工费,材料费,以及后期拆机、清洗等增值服务费等,这些其实也都是应该计入热水器购买成本的。
而一些服务质量好的高端品牌,则会提供一站式服务,下图是卡萨帝的七星全面安装服务,免一切安装过程中的人工服务费、材料费和增值服务费等,更加省钱省心省事,给消费者提供贴心服务。

2.7 保修期限和体验
虽说,燃气热水器,国家标准是使用8年,但部分厂家,采用了一些较为劣质的零部件,往往使用3-4年,就会出现损耗,从而产生过热、异响、熄火、漏水等安全问题;这时候,大伙在选购的时候,要认准各个领域较为优秀的零部件,比如:日本原装进口“瑞萨芯片”、尼德科进口水泵、科信特风机等。搭配这些零部件,使用8年就绰绰有余了
三、燃气热水器推荐
在读完上一节的燃气热水器的选购攻略后,大家应该对于燃气热水器的选购有了更清晰的了解。高端燃气热水器比拼的重要能力就是恒温能力,谁的恒温做的好,日常使用就更舒适,卡萨帝的双驱水伺服从设计和原理上来看属于很完美的功能。
在实际燃气热水器选择时,除了看上述性能参数,还需要关注热水量的大小,需要选择能满足居家需求的水量的产品。
此外,还需要考虑燃气热水器的颜值是否与空间相匹配,并且考虑燃气热水器的体积等。
综合前文的选购攻略和注意事项,给大家推荐四款市面上的高端热水器:
3.1 卡萨帝CWV3,搭载最新的双驱水伺服系统和更出色的降噪设计,是一台恒温能力出色+体验感更好的燃气热水器
- 这款产品拥有水伺服智能控温功能,通过智能水温/水量双精控,可以实现精准的温控,出水温度波动可控制在±0.1℃,给用户提供舒适恒温体验;
- 在洗浴过程的二次启停中,其可通过双驱水伺服,前、中、后三维检测水量,中和冷热水,监控温度,再配合0.6秒的点火,让二次启停更迅速,两者结合保证水温恒定恒温,彻底消除启停冷烫水;
- 其加热过程中,可提供15档的火力输出,并且会根据环境变化调整火力,为用户带去舒适的体验;
- 整机的降噪做的也很不错,通过优化结构阻隔等,可将运行时的噪音控制在40分贝。
- 还进行了抑制污垢的设计,可有效阻隔水垢生成,让沐浴水更加亲肤细腻;
- 并且机身体积也进一步缩小,更加节省空间。
- 并且还有很好的智能交互功能,可通过海尔智家app实现智能控制。
- 不足的话主要是在于没有零冷水。
售价方面,可以做到4000元出头,喜欢的可以冲一波~

3.2 卡萨帝CWS,母婴级恒温零冷水,顶级旗舰产品
卡萨帝CWS是卡萨帝旗下的高端燃气热水器,三管零冷水加上超强的泵和母婴级的恒温体验,可谓是“行业顶配”了,这款产品的亮点如下:
- 可提三管零冷水+母婴级恒温,零冷水可以即开即洗,可接独立的回水管,水量更大,不会有混水现象;恒温配置有:无级变频水伺服+五段微火控温,即使多点用水,也可以保障水温变化低至0.1度;
- 拥有超强的增压水泵,扬程可以达到14m,水路循环可以达到150m,并且能够提供澎湃大水量,其具有的增压瀑布洗会让洗浴更舒适;
- 降噪设计也非常出色,对泵、燃烧室、风机均进行了降噪设计,分贝低至40dB;
- 颜值超级高,卡萨帝CWS燃气热水器的蓝色面板实在太高端大气上档次了,称得上燃气热水器的颜值巅峰;
- 机身的体积也比之前缩小了13%,占据空间更低;
- 且同样有海尔智家的智能控制
- 并且提供七星全免安装服务
售价在5000元价位,适合大户型用户,以及追求恒温零冷水体验的用户选择。

3.3林内GD61R-恒温零冷水热水器
这是林内23年推出的最新款恒温零冷水热水器,其主要优势如下:
- 是2管零冷水机型,适合无回水管的老房改造;
- 其拥有非常高的热效率,通过升级7排换热管,采用M式水管排布,让其拥有高达90.51%的热效率
- 燃烧器长度相比于上一代提升了20%,可让燃烧更稳定,更大幅度地调节火力,起到更好的加热效果;
- 为了提供恒温的热水,其搭载三段微火控温技术+水汽双调配置,调节混合水流量比例锁定目标温度,精准恒温。
- 整体的降噪设计做的也很出色,噪音控制在45分贝左右;
- 外观颜值偏金色,更适合暖色调的房间装配。
售价方面,在5000元价位,也是一款值得拥有的产品。

3.4 林内D06W,主打恒温功能的燃气热水器
这是一款4000元价位的产品,其主打的卖点也是恒温功能:
- 采用智能水伺服+三段微火控温,可根据温差,快速调整比例阀和水量伺服器装置,所调即所感,让沐浴全程稳定恒温;
- 其能够做到出水温度波动在±1℃以内,温度波动控制也很出色;
- 由于具有旁通混水技术,故在洗浴过程中,二次开水时,可保证水温波动小于1℃,给用户带来恒温体验;
- 火力控制也很精准,最小2排火加热可让水温控制更加精准;
- 换热器采用船用级的无氧铜,导热性能强;
- 整体设计风格清新;
价格在4000元出头,喜欢其恒温体验的可以考虑一下。

3.5 A.O.史密斯JSQ31-BJS,恒温零冷水
最后推荐一款史密斯的恒温零冷水燃气热水器,也是A.O.史密斯旗下的高端产品,这款产品的主要亮点如下:
1)具有出色的零冷水功能,是二管零冷水机型,可让用户享受到“花洒一开、热水即来”的体验;
2)这款热水器与前面几款不同的地方在于,其采用的是上置风机的负压燃烧系统,热效率比较低,风机位于燃烧室上方,工作温度较高

3)恒温配置上,采用的是双控联调(水汽双调)+三分段微火控温,水火双控之下,水温波动可以精准到±1-2度;
4)其采用了商用级的不锈钢换热器,防腐蚀抗污垢能力大幅 ,可保证冷凝炉的寿命;
5)考虑到不锈钢的热导率低,其采用了管翅式换热器,配合其中的绕流技术,可实现高达90%的换热效率,让其换热不受不锈钢本身的影响。

外观用的是偏金色的色调,外表进行了细腻磨砂处理,颜值也很不错。
其售价在5000元价位,优势主要在于CO预警加主动清除等,喜欢这款产品的,可以尝试一下。

以上,不知道上述五款燃气热水器大家更喜欢哪款?欢迎评论区留言讨论~~