硬核:玻璃如何在门窗中起到隔热保温作用
广东今天门窗
2020-07-09
在门窗行业,门窗部位的隔热保温性能对整个建筑的能量流失具有至关重要的影响,是真正的建筑能量节能关键途径。目前我国的门窗技术发展迅速,自主生产研发的门窗拥有良好的隔热保温性能。而在门窗中,影响门窗的保温性能的大致有如下4个方面:门窗玻璃的影响、门窗腔体的断桥设计、密封设计以及门窗的安装。
现在,小编就分享一下关于玻璃在门窗隔热保温所起到的作用,希望对大家将来在家居装修选购门窗的时候能够有所帮助。

玻璃是热的良导体,其导热系数约为0.9W/(m·K),单层玻璃的热阻非常小。因此,如果在炎热的夏天,室内开着空调而室外高温的情况下,由于两者温差较大,单层玻璃传热系数较高,室内温度流失较快,当人站在室内窗前,会感受到明显的温差效应,感觉非常不舒适。
那么,为了提高节能效果,改善门窗的隔热保温性能,我们可以通过以下几种途径改善门窗玻璃的综合优化。
使用中空玻璃
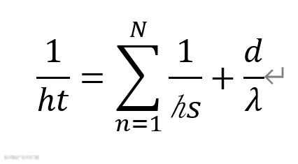
中空玻璃,顾名思义就是由两片玻璃组合而成,由于两片玻璃间空气层的存在,使得室内外热量传递方式发生了改变,由单片玻璃的热传导,转变成辐射和对流传热为主,中空玻璃系统的热导ht可以通过下方公式计算:

- hs:中空玻璃气体间隙层热导W/(m²·K)
- N:中空玻璃气体层数量
- d:组成中空玻璃的单层玻璃厚度和(m)
- λ:玻璃导热系数W/(m²·K)
可见,中空玻璃的热导,与玻璃的导热系数及气体间隙层热导正相关,与玻璃厚度负相关;而气体间隙层热导是包括间隙层气体热导及组成间隙层的两片玻璃的辐射热导;从而我们可以得出,使用中空玻璃,由于气体间隙层的存在,使得中空玻璃的传热系数主要决定于气体热导及玻璃的辐射热导,从而大大减低了中空玻璃系统的传热系数,整窗的隔热保温性能得到明显的改善。

惰性气体
从上文得知,中空玻璃的传热系数,与气体的热导相关,因此,除了使用中空玻璃之外,还需要在中空玻璃的空腔内充入大分子、粘滞度高的惰性气体,如氩气、氪气、氙气等等,这些惰性气体的比重比空气大,气体流动性差,由气体对流及传导而传递的热量大大降低,从而常被用来作保护气来隔绝空气。

一般来说,对于充入惰性气体的中空玻璃,就必须采取严格的措施控制丁基胶宽度、丁基胶涂敷量、间隔条接口背封等加工工艺外,正规厂家生产的中空玻璃,气体年泄漏率应不超过1%。同时必须按照最新的GB/T 11944规定,对气体密封耐久性进行检测。

空气层宽度
如果对门窗有所了解,那么,就会经常看到玻璃上有类似5+19A+5这样的标注,5代表的是玻璃的厚度,A就是代表这空气层(Air layer),19A意思就是19毫米宽度的空气层;这个宽度是依据不同的环境条件和门窗结构设计而有所差异的,所以,厂家在设计的时候会根据门窗的构造来制定科学合理的空气层宽度,获得最佳的隔热效果,并不是一味的追求空气层越宽越好。
隔绝高温,你只差一扇好门窗。今天门窗断桥铝门窗均经过严格选材,搭配先进的断桥技术,在室内与室外之间形成一道防护罩,给你更好的保温隔热效果。

▲今天门窗信仰·绽放系列
今天门窗精选信义汽车级钢化玻璃,国家3C认证,双层中空结构,内充氩气,既可以隔绝热气的渗透,同时也能隔绝噪音,节能效果显著,从此不惧骄阳烈日。

今天门窗,一直坚持为广大消费者带来更加舒适、更富美感的高品质门窗产品,只为给您带来更好的生活体验,选择今天门窗,选择高品质的人居生活方式。